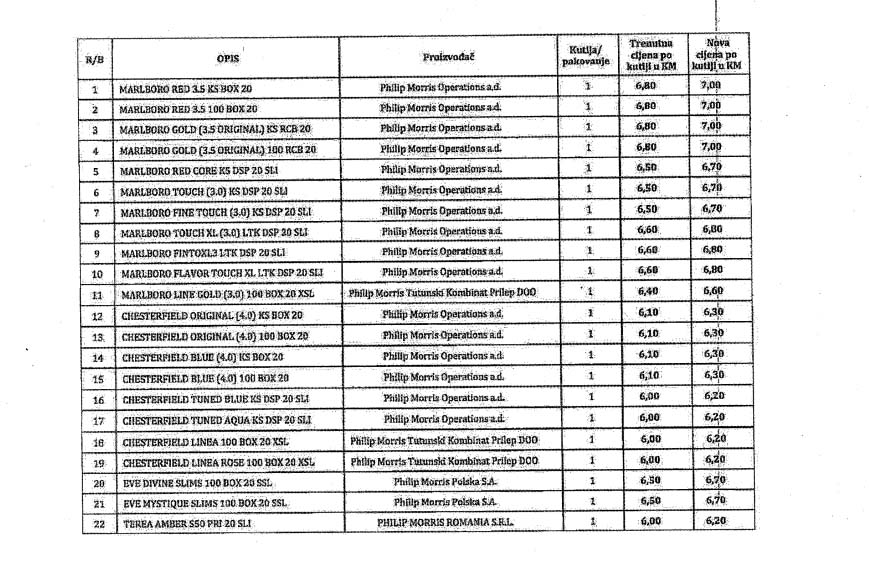
Uprava za indirektno oporezivanje Bosne i Hercegovine obavijestila je o novim malopridajnim cijenama cigareta od tri distributera.
Nove cijene cigareta Upravi za indirektno oporezivanje (UIO) BiH dostavili su „TDR“ Sarajevo, „Filip Mors“, te „Nelt“.
Cijene su uglavnom veće za 20 pfeninga po paklici cigarete.
Cigarete kompanije TDR poskupjeće od 13. februara, zatim od 19. februara primjenjuju se nove cijene Philip Morrisa, a od 9. marta to će učiniti Nelt.
Pratite nas na našoj Facebook i Instagram stranici, X nalogu i Youtube kanalu – www.ntvarena.com





